回上層 Up one level

Y型電路轉△電路

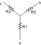
如圖所示Y型電路可以轉為 △電路以方便計算!!

其轉換公式如下:

由以上3個公式來看,可以整理出來一個轉換法則:

*當Y型的3個電阻皆相同時

是不是覺得越看越煩,計算困難了呢!?沒關係,那就不用背了吧!!我們幫您設計了一個小程式,只要輕輕一按,就可以快速的算出您欲求的電阻值了喔!!

Ra

R1=

R2=

R3=

Ra=

 

Rb

R1=

R2=

R3=

Rb=

 

Rc

R1=

R2=

R3=

Rc=

 

*請務必對照上圖的電阻符號標示電阻

 

小試身手一下吧!!

如右圖,請依Y型轉△公式,計算答案填在下面空格上。

Ra=Ω

Rb=Ω

Rc=Ω