Open Circuit and Short Circuit Test on Transformer

Transformer Open Circuit Test

Generally on LV side

Transformer open circuit test (oct) is carried out at rated voltage and frequency to determine core loss of the transformer.

 

Instruments are placed at on low voltage (LV) side

with high voltage (HV) side kept open as shown below.

When voltmeter reading is equal to the rated voltage of LV side,

all the three instrument readings are taken.

 

The equivalent circuit of a transformer is shown below.

Since load side is kept open, therefore,

transformer draws only no-load current I0 ,

which is less than 5% of the rated current.

 

Hence, primary impedance drop [I1(R1+jX1)] can be neglected.

 

Therefore, transformer equivalent circuit reduces to

The input power from supply (recorded by the wattmeter)

consists of core loss and primary winding copper loss.

 

Since the no-load current drawn by the transformer is only about 5% of the rated current, the ohmic loss in primary is only about 0.25% of full load primary ohmic loss.

 

Therefore, ohmic loss during test can be neglected and the wattmeter reading can be taken equal to the transformer core loss.

 

Let PC be the core loss. Then we get core loss equivalent resistance RC as

So, open circuit (OC) test also gives its equivalent circuit parameters RC and XM .

No-load power factor of transformer is very low, therefore, low power factor wattmeter is used for this test.

 

 

 

 

 

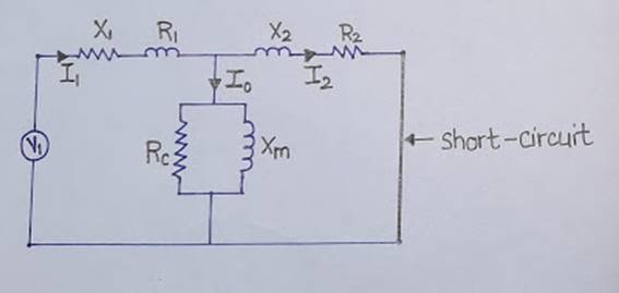
Transformer Short Circuit Test

Generally on HV side

 

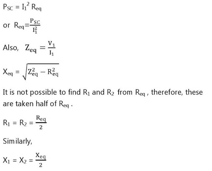
Short circuit (SC) test is carried out on a transformer to determine full load copper loss and therefore it is carried out at rated current and rated frequency.

 

Instruments are placed on high voltage side with low voltage side short circuited by a thick wire of low resistance.

Instruments are placed on high voltage side because rated current on high voltage side is lower than that on low voltage side.

 

Hence, instruments of low current rating are required, making them smaller in size and economic in cost.

 

The transformer equivalent circuit is shown below.

To circulate rated current (full-load current) at short circuit, an input voltage of about 5% to 10% of rated voltage on high voltage side is sufficient.

 

Therefore, core loss (depends on voltage applied) is very small and can be neglected

i.e I0=0 .

 

Hence, shunt branch can be removed and the equivalent circuit becomes

Hence, wattmeter reading can be taken to represent only full-load copper loss.

 

Let PSC be the wattmeter recording. Then,

 

 

 

 

-        E n d -