Open Circuit and Short Circuit Test on
Transformer
Transformer Open Circuit
Test
Generally on LV side
Transformer open circuit test (oct) is carried out at rated voltage and frequency to
determine core loss of the transformer.
Instruments are placed at on low voltage (LV) side
with high voltage (HV) side kept open as
shown below.

When
voltmeter reading is equal to the rated voltage of LV side,
all the three
instrument readings are taken.
The
equivalent circuit of a transformer is shown below.

Since
load side is kept open, therefore,
transformer draws only
no-load current I0
,
which is less than 5%
of the rated current.
Hence,
primary impedance drop [I1(R1+jX1)] can
be neglected.
Therefore,
transformer equivalent circuit reduces to

The
input power from supply (recorded by the wattmeter)
consists of core loss
and primary
winding copper loss.
Since the no-load current drawn by the transformer
is only about 5% of the rated current, the ohmic loss
in primary is only about 0.25% of full load primary ohmic
loss.
Therefore, ohmic loss during
test can be neglected and the wattmeter reading
can be taken equal to the transformer core loss.
Let PC be the core loss. Then we get core loss
equivalent resistance RC as

So, open circuit (OC) test also gives its
equivalent circuit parameters RC and XM .
No-load power factor of transformer is very low, therefore, low power factor wattmeter is used for this
test.
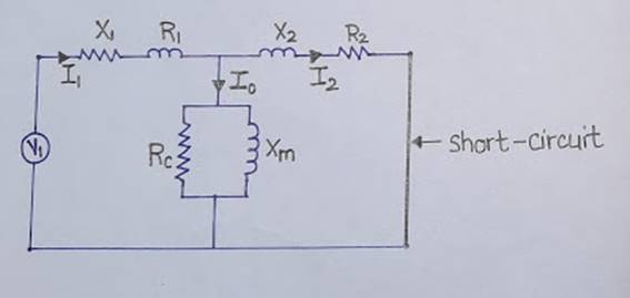
Transformer Short Circuit
Test
Generally on HV side
Short circuit (SC) test is carried out on a
transformer to determine full load copper loss and therefore it is carried
out at rated
current and rated frequency.
Instruments are placed on high
voltage side with low voltage side short
circuited by a thick
wire of low
resistance.

Instruments are placed on high voltage side because
rated current on high voltage side is lower than that on low voltage side.
Hence, instruments of low current rating are
required, making them smaller in size and economic in cost.
The transformer equivalent circuit is shown below.

To circulate rated current (full-load current) at
short circuit, an input voltage of about 5% to 10% of rated voltage on high
voltage side is sufficient.
Therefore, core loss
(depends on voltage applied) is very small and can be neglected
i.e I0=0 .
Hence,
shunt branch can be removed and the equivalent circuit becomes

Hence, wattmeter reading can be taken to represent only
full-load copper loss.
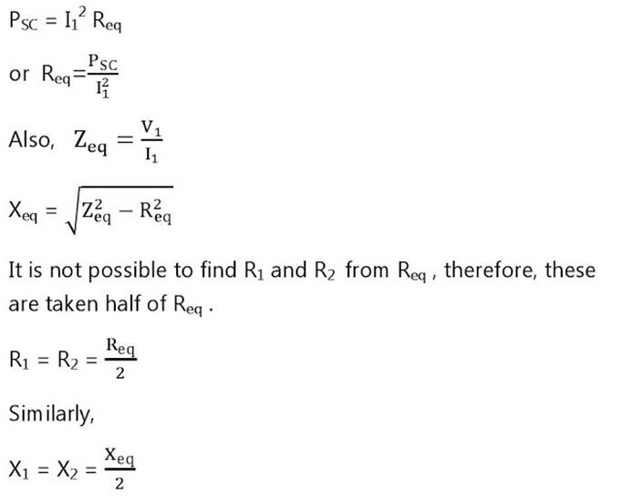
Let PSC be the wattmeter recording. Then,

-
E n d -