* 臺灣度量衡標準實驗室 *
光強度的單位:燭光(cd)

在晴朗的夜晚靜觀天空,會發現星星的亮度都不一樣。以我們的眼睛來觀察,很容易誤以為最亮的恆星是最大的。其實不是星星因體積較大而顯得更亮;除了太陽以外,所有的星星都因離地球太遙遠,而有任意的亮度。對在地球的我們,這些星星只是天空中的光點而已。
不論東西方,古代的牧人或農人在沒有雲雨的晚上,可能會坐在草原或庭院觀察天象作為一種休閒娛樂,目測星星的亮度,互相比賽誰的眼力較佳。這大概是人類最早對物體明亮度的量測,也可能是光度量測的起源。此外對於陰晴天空的明暗或光線照射屋內的明亮程度,也會進行一些非量化的比較。雖說天文學主要量測的量別為天體星座的位移(長度)和時間,然而光度量測則是一項不可或缺的手段。
光的量測歷史
早期的光度量測是對物體亮度的研究,最初天文的研究只是由眼睛來量測星星的光亮程度,但後來逐漸擴大到星系(galaxies)、星雲(nebulae)、超新星(supernovae)和幾乎宇宙中的所有天體(celestial objects)。
公元前129年,希臘天文學及數學家依巴谷斯(Hipparchus)經由觀察,繪製了約850顆星星的目錄,包含位置和亮度,而無需特殊工具或設備,只憑肉眼而己。他將最耀眼的星星列為“第一級”,而最微弱的星星為“第六級”。
公元170年,希臘裔羅馬希臘數學及天文學家托勒米(Claudius Ptolemaeus)合成依巴谷斯大量觀測與研究的成果,並引申各種本輪(epicycles)和偏心圓(eccentric circles)來解釋天體運動的地心理論,後世遂把這種地心體系冠以他的名字,稱為托勒密地心體系。托勒米當時認為行星係以地球為中心,而各行星和太陽繞地球軌道的順序為月球、水星、金星、太陽、火星、木星、土星(如圖一),而他所撰寫的天文學大成一書(Almagest)成為以往後1400年天文學的學習基礎入門。

圖一 地心理論的行星軌道
圖一:http://abyss.uoregon.edu/~js/glossary/ptolemy.html
1608年,荷蘭眼鏡製造商李普希(Hans Lippershey)和揚森(Zacharias Janssen)以及儀器製造商梅提斯(Jacob Metius)發明了最早的天文望遠鏡。1609年伽利略(Galileo Galilei)聽說荷蘭有望遠鏡之後,就在一個月內製造出自己的望遠鏡,並於次年在設計上做了大幅的改善。於是天文學家即可藉由望遠鏡檢測天體(celestial objects)的大小,得以更精確地量測天體的亮度。利用這些望遠鏡,可以看到一些超越依巴谷斯(Hipparchus) 原本分天體明暗1至6級的星等(apparent
magnitude)。有一些非常明亮的天體,其視亮度(apparent brightness)可以是0級甚至是負數的級數,而非常暗弱的天體也有大於+6的級數(如圖二)。

圖二 從地球上看天體的視亮度
光度量與輻射度量
光是人們最常利用又熟悉的電磁波。廣義來說,指的是光輻射,依其波長可分為紫外輻射、可見光和紅外輻射。從狹義上來說,一般人所謂的「光」即對人眼能產目視刺激而有光亮感的電磁輻射。如圖三所示,在波長從105 m至10-14 m的廣大電磁波範圍內,人肉眼所能看到的光只佔從380 nm至780 m的範圍。

圖三 電磁波的波長與頻率
圖三 http://www.chinaelectric.com.tw/word.htm
科學家們將研究有關光輻射的量測科學稱為輻射度量學(radiometry),乃是用能量單位描述光輻射能的客觀物理量,其涵蓋可見光(visible
light) 部份;若單考慮可見光的輻射關係就稱作光度學(potometry)。換言之,光度學為描述可見光在亮度和顏色方面對人眼的影響。
雖然輻射量測和光的量測,都是用定量來描述輻射能的強度,然而輻射量測是輻射能本身的客觀量測,係純粹的物理量;但是光的量測則包含了生理學和心理學等概念在內,例如人眼視網膜上的感光細胞對各種不同波長的靈敏度並不一致,對綠光最靈敏,對紅、藍光較不靈敏。
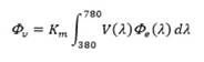
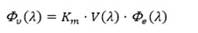
光度量(photometric quantity)為具平均人眼視覺特性的眼睛受到光輻射能的物理量,例如輻射通量(radiant flux)是以單位時間內通過某一面積的所有輻射能量(包括紅外、紫外和可見光)來計量,既可以指一輻射源發出的輻射功率,也可指到達某一特定表面的輻射功率。若依輻射通量所產生的光作用來看,只能計算作用於人眼睛的功率,此功率稱為光通量(luminous flux)。
由於眼睛在受光刺激時,雖不能定量地判斷其強度大小,卻能精確地判斷兩種光刺激的強度是否相同,即光的明暗感覺。利用眼睛的這種特性,科學家們研製了目視光度計(visual
photometer),並應用在光源的光強度(luminous intensity)量測。同時,也利用眼睛這種特性,對不同的光源進行比較。
基於眼睛對不同波長的光有不同的感覺,科學家們將各種波長的光引起明暗感覺所需的輻射通量進行比較,以確定眼睛的光譜響應,利用光源所發出的光通量(產生視覺的功率)與其全輻射功率之比來計量。實驗結果顯示,在較明亮環境中人的視覺對波長為555 nm的綠色光最為敏感。
設任意波長為l的光和波長為555 nm的光產生同樣明暗感覺所需的輻射通率分別為F555與Fl,將兩者的比V(l)稱為發光度函數(luminosity function)或視見函數(visual
sensitivity function) V(l)=F555/Fl。例如1 mW的555 nm綠光與2.5 W的480 nm藍光引起的明暗感覺相同。
於是在480 nm藍光的視見函數為V(480 nm) = 1 mW/7.2 mW
= 0.139。當衡量光通量的大小時,要把輻射通量乘以視見函數的權重成為對人眼的有效數量。假設光譜輻射通量為Fe(l),其可見光輻射所產生的視覺刺激值即光通量Fn(l)為:
![]()
Km為明視覺最大之光譜光視效能,它表示人眼對波長為555 nm之光輻射產生光感覺的效能;其值為683 lm/W,lm為光通量單位流明的SI單位符號。對含有不同光譜輻射通量的任何輻射量,它所產生的光通量為:

國際照明委員會(International Commission on Illumination;CIE)
依據對多人的觀察結果,將各種波長的光引起明暗感覺所需的輻射通量進行比較,確立了人眼對各種波長光的平均相對靈敏度,即視見函數。在較明亮環境中人的視覺對波長為555.016 nm的綠色光最為敏感;而480 nm藍光的視見函數為V(480 nm) = 1 mW/7.2
mW = 0.139,如圖四。

圖四 視見函數
光度量的單位
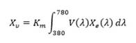
其他光度量Xn(l)和相對應的輻射量Xe(l)之間也有類似的關係,若用函數表示,則如以下方程式:

光度量包括:發光能(luminous energy)、光通量(luminous flux)、光強度(luminous intensity)、發光度(Luminous exitance)、光照度(illuminance)、光亮度(luminance)等。其定義及符號如下:
1. 發光能:光源所發出被人眼感知的輻射能量,亦稱作光量(quantity
of light) ,符號Qυ。
2. 光通量:光源在輻射方向上每單位時間內能被人眼感知的輻射能量,亦稱作光功率(luminous power) ,符號Fυ。
3. 光強度:光源所發出的在給定方向上單位立體角內的光通量,亦稱作發光強度,符號Iυ。
4. 發光度:每單位面積所發出的光通量,用於出射表面的光,亦稱作光出射度(luminous emittance)
,符號Mυ。
5. 光照度:被光照面上每單位面積所吸收的光通量,用於入射表面的光,簡稱為照度,符號Eυ。
6. 光亮度:光源在給定方向上單位面積內所發出的光強度,亦稱作耀度,簡稱為亮度,符號Lυ。
光度量中,最早被量測的量為光強度,也是目前國際單位制(SI units) 的基本量,其單位為燭光(candela),為目前國際單位制七個基本單位之一,定義為「一燭光等於頻率540×1012赫(Hz)之光源發出之單色輻射,在一定方向每立弳之輻射通量為683分之1瓦特(W)之發光強度」。頻率540×1012赫光源的波長約為555 nm。
另一方面,“燭光”可以說是唯一和生物作用(人類視覺)相關之基本單位。
不論何種光度量,它們的單位與定義都和燭光有密切關係。表一中的單位係國際單位制所認定的光度量單位,除了燭光為國際單位制的定義之外,其餘單位的定義參考自經濟部標準檢驗局在所公布的「法定度量衡單位及其所用之倍數、分數之名稱、定義及代號」。(待續)
表一 國際單位制的光度量單位
|
量名 Quantity name |
SI單位 |
單位符號 |
單位定義 |
|
光強度 luminous intensity |
燭光 candela |
cd (cd= lm/sr) |
一燭光等於頻率540×1012赫之光源發出之單色輻射,在一定方向每立弳之輻射通量為683分之1瓦特之發光強度。 |
|
光通量 luminous flux |
流明 lumen |
lm (lm= cd·sr) |
一流明等於一燭光之均勻點光源放射於一立弳之立體角範圍內之光通量。 |
|
照度 illuminance |
勒克斯 lux |
lx |
一勒克斯等於一流明之光通量垂直照射於一平方公尺平面之光照 |
|
[光]亮度;[光]耀度 luminance |
燭光每平方公尺 candela per square meter |
cd.m-2 |
一燭光每平方公尺等於在均勻輻射下,每平方公尺之面積有一燭光強度之亮度。 |
光強度的標準
早期用以判斷光源表面之明亮程度(brightness)的光偵測器(photo detector)僅有人的肉眼。當時人們使用一只標準燈(或蠟燭)和一只待測燈相比較,其中一只燈的距離可被調整,直到兩只燈被眼睛判為具有相同的明亮程度為止,再用照明逆平方定律(inverse square law of illumination)計算出待測燈的光強度大小。
這也是為何光的原級標準(primary standard)採用光強度,而不用其他光度學的單位。那時所用的光強度單位為目前已不用的單位“candlepower”,簡稱cp,中文譯為「燭光」,但和現有之法定計量單位「燭光」(candela) 不一樣。其原本是用來表示特定尺寸和特定成分之蠟燭所射出的光強度大小。
光之最初標準實際上是一些蠟燭,其設計、結構和操作上有特別規定。1860年英國大都會天然氣法案中所定義的 “candlepower”一詞,即一支1/6磅重純鯨油所製的蠟燭,在每小時燃燒120 grain (約0.0648 g)的速度下所產生的明亮程度;也被稱為標準燭光(standard candle)(圖五)。
此鯨油取自抹香鯨的頭部,曾一度被用來製造高品質的蠟燭。

圖五 英國標準燭光
圖一:https://protonsforbreakfast.wordpress.com/2013/12/10/looking-on-the-bright-side/
後來歐美各國改以數種型式之油燈取代蠟燭作為光的標準。當時在法國的光標準以卡塞耳燈(Carcel lamp)為基準,該燈係由法國鐘錶匠卡塞耳(Bernard Guillaume Carcel)將圓柱形阿岡型燃燒器(Argand burner)的缺點加以改良而成。
其提供的標準亮度被定義為:燈中之純菜籽油在每小時燃燒42 g的速度下所發出的明亮程度;大約等於10個標準燭光。而英國和美國採用哈爾科戊烷燈(Harcourt pentane lamp)為光的標準(圖六)。

圖六 哈爾科戊烷燈
圖六 https://homepages.abdn.ac.uk/npmuseum/selected.php?id=41
在十九世紀末和二十世紀初,德國、奧地利和北歐則用Hefner lamp為光的標準。該燈是在1884年由黑夫納(Friedrich von Hefner-Alteneck)所發明的測光火焰燈,其被指定為有40 mm的火焰高度和直徑8 mm的燈芯(圖七)。黑夫納並建議該燈可作為光度學上的一個標準火焰,以黑夫納科玆(Hefnerkerze;HK)為光強度的單位;1 HK約為0.903
cd (Candela) 。

圖七 黑夫納火焰燈
圖七:https:// http://de.wikipedia.org/wiki/Hefnerkerze
在1909年的國際光量標準會議,出席會議的有法國電力中心實驗室(Laboratoire Central de l’Electricité )、英國國家物理實驗室(National Physical Laboratory; NPL),美國國家標準局(National Bureau of Standards;NBS)和德國物理技術研究院(Physikalische
Technische Reichsanstalt;PTR)的代表們,依碳絲電燈重新定義了燭光,共同以特定的真空碳絲電燈泡當作國際燭光(international candle)之標準光源。不過,德國仍持反對意見,並決定仍使用黑夫納燈(Hefner lamp)為光強度標準。
1921年,由前身為國際測光委員會(Commission International de Photom’etrie)的國際照明委員會(Commission International de 1’Ecl irage;CIE)重新以碳絲白熾燈定義了國際燭光(international candle)。然而,上述各式的燈或蠟燭,若用來作為光強度的量測標準,其再現性和穩定性仍嫌不夠。
1908年開始有科學家考慮以絕對黑體(black body)來替代這些燈或蠟燭作為標準。所謂黑體就是指這種物體能夠在任何溫度下將輻射到它表面上的任何波長的能量全部吸收。換言之,在輻射體的任何溫度下,絕對黑體的光譜吸收率都等於1。
1931年,美國NBA即後來的NIST(National Institute of Standards
and Technology)採用Dr. Waidner和Dr. Burgess之建議,以白金熔點黑體輻射爐為新的原級標準光源,隨後幾個國家實驗室皆開始仿效使用。
國際單位制的光強度單位-燭光
1937年,國際燭光被重新定義為:處於液態純白金凝固點溫度下的絕對黑體,在1 cm2表面之光強度等於58.9國際燭光。
也就是在白金凝固點下(2042.15 K),絕對黑體的1 cm2面積的1/58.9部分的光強度為1國際燭光。同年,國際照明委員會和國際度量衡委員會(Comité
International des Poids et Mesures;CIPM) 即決定要將這一個單位改為新燭光(new candle),並根據1933年第8屆國際度量衡大會(Conférence Générale des Poids
et Mesures;CGPM)所授予的權力,終於在1946年的大會上決定以新燭光代替國際燭光,並頒布新燭光的定義為“The value
of the new candle is such that the brightness of the full radiator at the
temperature of solidification of platinum is 60 new candles per square centimetre.”中文譯為「新燭光的值係完整輻射體在白金凝固點下溫度的明亮度為每平方公分60新燭光。」
1948年,第9屆國際度量衡大會正式批准國際度量衡委員會的建議,採用白金凝固點黑體輻射體為新的原級標準光源,重新定義光強度的單位,並同意給光強度一個新的國際單位(SI)“candela”,符號為“cd”; 我國度量衡單位譯為「燭光」。
1967年第13屆國際度量衡大會將Candela重新定義為“The candela is the luminous intensity, in the perpendicular
direction, of a surface of 1 / 600 000 square metre
of a black body at the temperature of freezing platinum under a pressure of 101 325 newtons per
square metre.”。中文譯為「燭光為在101 325 N/m2的壓力下,處於純白金凝固溫度的黑體之1 / 600 000 m2表面的垂直方向上之光強度。」,亦可簡述為「在純白金凝固溫度的黑體表面具有60 cd /cm2之亮度值者。」
1971年,第14屆國際度量衡大會通過了壓力單位牛頓每平方米(N/m2) 的專門名稱「帕斯卡」,符號為Pa。如此一來,Candela(燭光) 的定義又更新為「燭光為在101 325 Pa的壓力下,處於純白金凝固溫度的黑體之1 / 600 000 m2表面的垂直方向上之光強度。」
在1969年前,幾個先進國的國家標準實驗室以自己白金黑體實現光強度標準,但同時需要煉出很純的白金,且保持在充有氧化釷的容器內仍要很純。並於量測全反射稜鏡的透射比時,必須考慮光繞射和空氣、蒸氣的光吸收等因素;又輻射體要維持在高溫(1777 ℃),有一定程度的困難。而這些國家標準實驗室也曾先後5次於國際度量衡局(International Bureau of Weights and
Measures;BIPM)進行國際比對,其間之差值有2 %以上,且改進的希望也不大。是以尋求實現Candela更準確的方法,減少繁瑣以及輕便裝置的發展,是當時各國國家實驗室之目標。
1975年澳洲國家標準實驗室(National Measurement Laboratory;NML)和美國NBS期望以一個確知的數字關係將光度量基本單位和瓦特關聯起來,主要是因為輻射技術發展迅速且應用於光度學,尤其是這些技術包含了輻射計(Radiometer)。此外,輻射功率量測也有很大的進展,可利用輻射計把光功能轉換成熱能來量測其電能,量測精密度和準確度均能獲得提昇。於是利用絕對輻射計方法對光度單位重新下定義成為當時的改進目標。
1979年第16屆CGPM大會中同意CIPM光量與輻射諮詢委員會(Consultative Committee for Photometry and Radiometry;CCPR)的建議,採用新的Candela定義 “The candela is the luminous intensity, in a given direction, of a
source that emits monochromatic radiation of frequency 540 × 1012 hertz (555 nm) and that has a radiant
intensity in that direction of 1/683 watt per steradian
(sr).” 。中文譯為「一燭光等於頻率540 × 1012 赫(波長555奈米)之光源發出之單色輻射,在一定方向每立弳之輻射通量為683分之1瓦特之發光強度。」(圖八) 。

圖八 Candela(燭光)定義示意圖
此新定義除了廢除1948年至1979年之間,廣被使用的白金凝固點黑體輻射作為光度基本單位,更讓實驗室在實現Candela上有更大的自由,同時建立了光度量(photometric quantity)與輻射度量(radiometric quantity)之間的關係。
燭光的實際實現方法
燭光的新定義為一個開放性的定義,沒有規定實現光強度單位的具體方式,從而允許選擇不同的方法來實現燭光,以下為世界各國常用的主要方法:
1. 黑體輻射器法
絕對黑體為一個理想化的物體,能夠在任何溫度下吸收外來的全部入射電磁輻射,並且不會有任何的反射與透射。隨著溫度上升,黑體所輻射出來的電磁波與光線則稱做黑體輻射。利用黑體輻射器實現光度標準的方法,就本質而言是建立在黑體熱輻射理論的基礎上。黑體輻射器光譜輻射特性和總輻射特性完全可由理論公式導出。在特定溫度T( K) 下發射輻射的光譜分布只是波長的函數。因此,可以作為輻射度量的計量標準。
為了要實現光強度單位,需進行人工模擬黑體輻射器的製作,人工模擬黑體輻射器的品質主要決定於黑體腔溫度量測的準確度及其發射率是否接近於1的程度。黑體腔的發射率與腔體材料表面發射率、腔體形狀和溫度分布有關(圖九),當上述三個參數確定後,即可對黑體的有效發射率進行精確的計算。奈米碳管黑體(Vantablack)則是目前已知最黑的物質,吸收可見光波段電磁輻射最高可達99.965 %,當光線入射奈米碳管黑體時幾乎不會反射出去,而是會侷限於管壁之垂直排列生成的奈米碳管中不斷偏折,直到轉換成熱能為止。

圖九 黑體輻射器結構圖
常溫黑體輻射標準的工作範圍為- 40 ℃至90 ℃,輻射出射度(radiant exitance)的量測不確定度為0.5 %,全輻射溫度的不確定度為0.4 K。不過,由黑體輻射器法所建立的光度標準之不確定度相對較大,而且製作黑體原器的技術複雜,所用材料又有輻射性污染。因此,其主要缺點在於實際再現的難度較大。
2.
矽光電二極體自校法
1980年,美國NBS曾發表矽光二極體(silicon
photodiode)絕對感度的自校技術。所謂矽光電二極體自校法是指在對高性能矽光電二極體特性進行精密測試研究的基礎上,通過對一些參數的相對量測,精密計算出高性能矽光電二極體的量子效率,進而確定絕對光譜回應度(A/W)。
矽光電二極體自校法的優點是準確度高,遠超過了黑體輻射源和常溫絕對輻射計,而在成本造價、運轉費用、操作簡易程度方面,又遠遠優於低溫輻射計。這種技術的缺點是需要高性能的矽光電二極體,對所用矽光電二極體的性能要求近於苛刻;另一方面,它是通過一些相對量測來計算矽光電二極體的量子效率,這樣就限制了自校矽光電二極體量測準確度進一步的提高。
3.
電置換絕對輻射計法
電置換絕對輻射計法(electrical substitution radiometer;ESR)的原理是利用可量測電性加熱和輻射加熱相等效的熱感測器,以電加熱功率相等於受測輻射功率(或光強度)的量(圖十)來算出輻射功率(或光強度)。

圖十 電替代輻射計原理圖
圖十:http://physics.nist.gov/Pubs/TN1421/electrical.html
輻射通量(radiant flux) Φp入射到設計為最佳輻射收集的接收空腔(receiving cavity)。空腔吸收輻射之後,其溫度會上升。接收空腔以熱傳導率為G的熱導體(thermal conductor)連接至參考溫度T0的恆溫散熱片(heat sink),若忽略輻射、對流和雜散熱傳導損失,則平衡的溫升為T - T 0 = Φp / G。當光閘(shutter)攔截光束時,將同時由電源供應器(power supply)增加足夠的電力至空腔,並藉由溫度傳感器(temperature sensor)的量測,使空腔維持在光閘開啟狀態下的溫度。若忽略前面提到的損失,則輻射通量Φp等於為使空腔溫度維持穩定而加在加熱器(heater) 的電流ih的平方乘以加熱器的電阻R,即Φp = ih2 R。將此值作光電不等效的修正後,即獲得受測的輻射功率。
電置換絕對輻射計通常在室溫環境中工作,其性能受到材料在室溫下熱性能的限制,量測不確定度在0.1 %至0.3 %的範圍內。電置換絕對輻射計量測的光譜範圍波長為300 nm至2.5 mm,甚至更長,量測功率範圍為0.1 mW至100 mW。這類絕對輻射計的最大優點是可在很寬的光譜範圍內進行絕對量測,用以實現光度基本單位也比較容易。但是,就其能達到的不確定度而言,並不比黑體輻射器光度標準好。
而後NPL研製的低溫輻射計則改善了電置換絕對輻射計的缺點。低溫輻射計的工作原理與常溫下的電置換絕對輻射計相同。其特殊之處在於它具有一個口徑足夠大而吸收比又高達99.9998 %的腔型接收器;使用於真空環境中,消除了熱對流損失和空氣對流所引起的雜訊;接收器工作在低溫2 K的環境中,而液態氮在2 K具有超流(superfluid)性質,這樣就消除了熱阻影響和輻射損失,從而使低溫輻射計量測輻射功率的不確定度達到1×10- 4至4×10-
5,提升了輻射絕對量測的水準。
低溫輻射計的出現,雖然在量測精密度方面大大地推動光學計量的發展,然而最大的缺點是複雜的裝置和昂貴的運轉費用。
臺灣的燭光標準
臺灣度量衡標準實驗室依據CGPM在1979 年頒布燭光之新定義,以偵測器為基礎(detector-based),應用置換絕對輻射計法,建立了絕對輻射量測系統(圖十一),完成燭光絕對標準,即光強度原級標準(primary standard)。經過多年努力研究和系統改良,目前燭光絕對標準是以室溫絕對輻射量測系統為主,以標準燈或光偵測器為其轉移標準件。系統主要功能為直接量測光源之光強度值或輻射功率值,進行燭光之絕對量測。

圖十一 絕對輻射量測系統接線示意圖
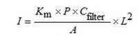
量測原理是以室溫絕對輻射量測系統透過視效函數之彩色濾鏡,直接量測固定距離之待校燈源的光功率,因光源與偵測面之間的距離以及偵測面面積皆為已知,故可算出相對之立體角(圖十二)。再依國際照明委員會會(CIE)1979年之燭光定義可知:燭光=照度´距離平方,其計算式如下式:

其中 I :燭光(cd)
L :光源至偵測面之距離(m)
Km :光通量與光功率之交換常數 683 (lm/W)
P :絕對輻射計量測之輻射功率值(W)
Cfilter :視效函數彩色濾鏡之修正係數
A :室溫絕對輻射量測系統之量測有效面積(m2)

圖十二 光源與絕對輻射量測系統裝置
目前所使用之視效函數彩色濾鏡是適用的色溫範圍為2600 K至3000 K,相對標準不確定度為0.31 %。未來擬在視效函數彩色濾鏡再加以改良,以提昇其量測範圍與降低其不確定度。此系統可提供光強度的量測範圍從250 cd至2500 cd,相對擴充不確定度為0.8 % (擴充係數為2.0,信賴水準為95 %)。
光量標準未來發展
光度量測對於各樣產業非常重要,其適用範圍及應用也相當廣泛,包括照明、航太、半導體、光電、光通信、汽車和色彩工業、顯示器和影像、以及氣候變遷等領域。還有包括外觀形貌(appearance),兆赫(THz)頻率應用,光子,量子資訊(quantum-based information)等新興領域。
傳統上,輻射量測和光度量測都是藉著原級輻射偵測器和主要輻射源(黑體輻射或電子同步加速器)進行。不過,從單光子操縱的最新發展上,顯示未來很有希望具完整光子數之輻射通量出現。此外,在固態照明的發展趨勢上,需要發展新校正方法去適應這些光源的特性。總之,光量標準的未來發展,仍具有無限的空間,待從事計量科學的專家努力開發。